第1章 總體介紹 1.1引言 干冰是一種眾所周知的材料,可用于許多工業領域。干冰最常見的用途是食品,飲料和實驗室的冷藏生物樣品以及有機化合物的氧化或其他反應,因為二氧化碳化學性質穩定,所以在制冷過程中可以使用它的制冷效果,預計該系統將用CFC(氯氟烴)替代舊系統,流體,這會導致臭氧消耗問題。它也被認為是一種好的方法通過回收二氧化碳來緩解溫室效應并將其用作制冷劑,這可以被視為一種二氧化碳捕集和儲存。吸引醫療領域人們關注的另一個應用是為了藥物造粒。納米級細顆粒藥物通過快速膨脹產生超臨界溶液(RESS)[Matson等,1989;榮格和Perrut,2001]可以通過膨脹過程中產生的干冰顆粒凝聚[Arieda等, 2006; Sonoda等人,2009; Watano,2009]。粒徑,粒徑藥物團聚體的分布,孔隙度和球形度可以由藥物控制生產的干冰的狀態以改善藥物輸送和處理。干冰的這些特殊功能,例如升華和軟性,可以使干冰來克服許多工業清潔問題。可以通過使用干冰作為磨料介質(干冰噴射)的噴砂方法清洗污染物。由于干冰噴射后冰塊最終會升華,次要問題可以避免污染,即由研磨介質引起的污染。在這些應用中,干冰顆粒的大小,結構和濃度被認為是重要的,因為這些物理性質將對其應用有很大的影響。 例如,具有足夠高濃度的干冰顆粒的慣性更有效去除污染物。 因此,對此進行基礎性研究,干冰顆粒的物理特性,特別是射流中的行為干冰應用系統的控制和優化是必要的。 1.2制造干冰及其熱力學 干冰是二氧化碳的固態,密度范圍在1400至1600公斤/立方米之間,并且它不能在室溫條件下永久存在,即1atm和25℃。圖1.1顯示了二氧化碳的相圖。當條件低于三重點時 (-56.4℃和5.13個大氣壓),CO2從固體變為氣體而不介入液體,這個過程被稱為升華。另一方面,二氧化碳的過程從氣體到固態的變化稱為沉積。這些功能不同于大多數其他氣態介入液體狀態的材料變成固態。這種相變,即升華或沉積將發生在在1個大氣壓下達到-78.5°C,使其能夠應用于許多氣固兩相流工業用途。由于干冰僅在低溫下存在,因此可以作為干冰應用一種低溫顆粒。另外,二氧化碳通常以液態儲存在氣瓶中以便于運輸在行業中。因此,干冰的產生和制造基本上來自于液態二氧化碳。干冰生產效率將取決于二氧化碳的過程 ,從液態變為固態。干冰可以通過快速膨脹液態二氧化碳通過噴嘴來產生焦耳湯姆森效應。焦耳 - 湯姆遜過程是一個恒定焓過程。在這個過程中,壓力會迅速下降并引起一些汽化 液態CO2。因此,溫度迅速降低,導致剩余的液態CO2固化。 CO2氣固兩相流是因此產生了擴張。干冰,膨脹的CO2兩相流,可以進一步壓縮并擠出以形成干冰粒或塊。如圖1.2所示,根據CO2的壓力 - 焓相圖可以獲得干冰產生的百分比。一般來說,壓力充滿液態CO2的氣瓶在25°C約為6.5 Mpa,如圖所示圖1.2中的A點b。當液體CO2通過噴嘴膨脹時絕緣,壓力將大大降低,焓變到B點,其中CO2呈現氣體和固態的平衡狀態。干冰的百分比,因此,干冰可以根據B點的CO2的最終狀態來確定,這個百分比隨液態CO2的初始狀態或方式而變化擴張。例如,干冰的百分比將通過一個較小的使用非絕熱噴嘴的膨脹過程,即最終狀態將在右側B點在固氣區域。因此考慮膨脹噴嘴設計這是實現高效干冰生產的重要問題。 
圖1.1 CO2壓力 - 溫度相圖 (來自亞洲工業氣體協會,2009年)。 1.3工業表面清潔 在工業制造中,由于污染物的存在,表面清潔勢在必行,產品表面導致低生產質量和產量; 例如缺陷,在電子器件中通常是由在其中沉積的細顆粒引起的制造過程。 但是,在表面清潔不好的情況下,因為粘附力傾向于大于分離力,因此使他們分離困難。 盡管如此,今天的技術創新是迅速發展,而高效清潔方法的發展是加速滿足創業行業的要求; 此外,這種清潔 方法也必須滿足日益增長的與工業相關的環境問題流程。 1.3.1濕法清潔 清潔方法可以主要分為兩類 - 濕清潔 采用液體介質,干洗采用氣態介質。濕洗很好清潔性能,并在行業中受歡迎。濕式清潔技術一直是對晶圓的表面清潔進行了廣泛的研究。由堿性和酸性過氧化氫組成的溶液在被稱為“RCA Standard Clean”的過程中使用。 
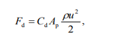
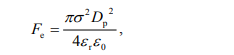
為了去除細小的顆粒,幾個物理的濕式清潔技術已經被開發出來,例如刷子清洗[Hymes 和Malik,1996],高壓流體噴射[Kuo and Matijevic,1980;凱莉和 Matijevic,1981; Yamamoto等,1994]和超聲波/超聲波技術[Itano et al 等人,1995; Shwartzman等,1985; Menon等,1989; Ohmi,1996; Busnaina和戴, 1997年]。然而,在濕清潔和水之后需要干燥過程,因此在排放或回收廢水之前處理是不可避免的增加能源和成本消耗。因此,有效地選擇,需要建立環保,經濟的清潔方法。 3.2干洗 干洗的開發是為了避免過度使用水和垃圾對環境有害的化學添加劑如酸類物質的清潔。 許多研究已經報道了干洗,并將幾種干洗技術分類,在這些干洗方法中,噴氣清潔是最容易進入的方法,因為設備和程序相對簡單。許多關于粒子的研究先前已經報道了通過采用空氣動力學效應進行去除。進一步,為了解釋顆粒去除效率的時間過程,Masuda等人[1994] 提出了一個模型,假定去除通量與數量成正比粘附力小于分離力的顆粒。 Otani等人。 [1993,1995]表明,連續脈沖空氣射流對顆粒去除是有效的。考慮到曳力的比值來分析去除效率附著力。 Gotoh等人[1994a,1994b,1995]討論了表面材料的影響, 污染物粒徑和相對濕度對去除效率的影響。改善去除效率,靜電預充電和振動空氣射流調查[Gotoh等,1996]。除了上述清潔系統之外,Smedley等人。 [1999a,2001]在穩定的噴氣機下慢慢翻譯樣本以避免這種情況,與噴射啟動相關的瞬態效應。 平移氣體噴射產生了長久的清潔,為探索噴氣參數的影響提供了非常好的統計數據。Smedley等[1999b]也使用撞擊沖擊波進行實驗,這有效地清潔了大面積的表面。 1.4干冰清洗 為了提高清洗效果,在氣體射流中加入細顆粒起作用,作為研磨介質;這個過程被稱為噴砂。金屬,氧化物,以及有機化合物可以用作研磨介質。但是,硬質磨料介質在沖擊清潔物體的易碎表面后會造成損壞。應該避免,特別是為了精確的清潔。 Hoenig [1986]證明需要在表面上使用軟材料流的清潔系統去除較小的顆粒。固體二氧化碳是最合適的軟材料,因為它是可在特別清潔的條件下使用,且成本較低且無毒。含有干冰顆粒的噴流可以通過兩種方法制造。一種方法是在單個生產過程中供應預制的干冰顆粒;然后將它們添加到壓縮空氣流中。混流可以進一步加速,與一個噴嘴。另一種方法是直接通過液體二氧化碳膨脹噴嘴。后者更簡單,更方便;因此,一般來說,通過工業應用。清潔表面時,空氣動力學阻力在撞擊射流和顆粒的停滯區域,力通常較弱,粘附在表面上不容易去除。但是,它們可以有效。 因為它提供了足夠的動量,所以通過干冰顆粒的碰撞而被移除轉讓。干冰噴射,即氣態碳的氣固兩相噴,流二氧化碳和干冰顆粒,能夠去除顆粒污染物有機殘留[Hoenig,1986]。由于干冰顆粒最終會升華成為二氧化碳氣體沖擊后,沒有沉積干冰顆粒;然而,應考慮二氧化碳中的雜質[Sherman等,1994;謝爾曼,2007]。為了評估干冰噴射的清潔效果,已經使用了顯示壓力和時間之間關系的抽空曲線,用于清潔真空部件。 [Layden和Wadlow,1990]。比較在粘附在表面上的顆粒的初始數密度和表面之間,通常直接使用清潔后的殘渣顆粒的數密度,評估顆粒污染物的清潔效果。 Dangwal等人[2007]利用發射掃描顯微鏡(FESM)與高分辨率二次結合,電子顯微鏡(SEM)和能量色散X射線分析(EDX)進行研究 干冰噴射后Cu和Nb表面的場發射特性。評估有機污染物,X射線光電子的清潔效果 光譜學[Sherman等,1994; Sherman,2007]和紅外光譜[Hills,1995]已被用來分析有機污染物的組成并在清潔后。 Hills展示了薄膜有機物的去除效率污染物強烈依賴于有機膜在液態CO2中的溶解度。最近,干冰噴射也被引入到大氣等離子體中噴涂并且顯示出對于改善金屬,合金和金屬的性能是有效的陶瓷涂層[Dong等人,2011]。與大多數關注清潔的研究不同連續干冰噴射的效果。展示了優化,脈沖干冰噴射系統用于去除表面上的顆粒,互補金屬氧化物半導體(CMOS)圖像傳感器,一種用于最優系統設計的統計方法。結果,減少二氧化碳可以實現干冰噴射系統中的消耗。在這個優化中,沒有考慮液態CO2的物理性質;然而,謝爾曼[2007]提到液態CO2源的輸入壓力可能會影響清洗結果。 1.5干冰噴射的噴嘴設計和系統特性 1.5.1干冰噴射裝置中的粒度控制 如第1.1節所述,干冰顆粒的大小和濃度會有所不同對應用程序有很大的影響。干冰顆粒的形成取決于溫度,壓力和射流條件。這些因素與設計有關膨脹儀器;因此操作條件必須得到精確控制以匹配各種應用需求。膨脹噴嘴的設計已經完成研究有效地產生初級干冰顆粒,Whitlock等人[1989]提出包括多個膨脹噴嘴的特殊設備,其中聚結室之間連接。被認為是微小的干冰顆粒;因此用于產生大液滴的聚結室,在進入第二孔之前是重要的。 Swain等人[1992]擴大,液態二氧化碳從一個小孔進入隔熱室形成小干冰顆粒,然后保留在小室中的小顆粒,直到小顆粒凝聚成大的。在這個過程中,大型干冰顆粒的形成是有利于清潔比小干冰顆粒更大的單位時間表面積。大型干冰顆粒不會像小顆粒一樣迅速升華存活時間更長,并沿著更長和更寬的路徑去除更多污染物。此外,快速移動的干冰顆粒具有更多的動能,因此更有效地去除附著在污染物上的污染物。 但是,由于清潔對象非常細膩,影響了大量干冰顆粒會損壞表面。 為了防止這個問題,Stratford [2003]提出了干冰它提供了一種有用的,精細聚焦的干冰粒子束尺寸小于8.9毫米,比空氣消耗量小一個數量級顯著降低噪音。 另外,Broecker [2010]提出了一種介質噴嘴包括介質尺寸改變器以改變干冰顆粒的尺寸以用于清潔表面。 當初始尺寸一致的干冰顆粒被引入時,介質噴嘴,顆粒與一個或多個介質尺寸改變部件碰撞,創造更精細的粒子。 omotsuka等人 [2005]發現,細小的干冰顆粒的影響可以冷卻清潔目標,導致粘附性降低 污染物和表面由于熱膨脹系數的差異。另一方面,大型干冰顆粒的影響可以直接消除污染物以其強烈的慣性。 基本上,噴射的細干冰的顆粒直徑小于5微米以及顆粒大的干冰直徑在0.3和1.0毫米之間,可以有效清潔短污染物清潔時間。 作為梳理這兩個優點的概念,特定的噴嘴由一個內部圓形管組成,帶有一個收斂 - 擴散孔用于噴射,由絕熱膨脹和圓柱形環形產生的細干冰顆粒,那里產生大量干冰顆粒,從機械破壞干冰塊流過。 1.5.2干冰噴射裝置的附加功能 除了用于控制干冰顆粒的具體噴嘴設計之外,還有其他的有關靜電荷和橋接現象的問題一直受到關注,岡崎等人組[2002]。 他們的清潔設備包括空氣供應裝置和充電裝置,用于提供極性相反的去極化空氣,裝入干冰顆粒的極性對清潔對象進行清潔噴嘴。 作為電中和的結果,重新定位,由于靜電而從清潔對象表面吹走的污染物可以防止裝入干冰粒的力。 另外,一個攪拌工具是安裝在該裝置中以攪拌料斗中儲存的干冰顆粒。使干冰顆粒通過部分升華彼此融合的橋接現象,因此防止了干冰顆粒的產生。 增加干冰噴射的清潔面積是另一個重要的問題。噴嘴設計。谷口[2001]聲稱,射流可以延伸穿過噴嘴出口后安裝附加蓋。封面,中空的尺寸,朝流動方向水平延伸,蓋出口呈扁平形狀。 因此,從蓋出口排出的干冰顆粒的面積增加;結果,清潔區域增加,提高了清潔效率。在一些干冰噴射系統中,載氣例如壓縮空氣或氮氣,通常被引入用于增加干冰的粒子速度;因此,清潔效果可以通過其強大的影響而得到加強。為了擴大載氣的應用,Merritello [2008]介紹了一種臭氧化干冰噴射器,通過混合二氧化碳來源和石油氣通過向臭氧發生器供給含氧氣體而形成載氣去除表面污染物。因此,臭氧之間的化學反應的效果,污染物可以與干冰的物理清潔效果一起使用爆破,改進和擴大其應用。干冰噴射可以通過將其他氣流引入清潔系統而多樣化;但是,那引入的氣流可能影響射流中干冰粒子的狀態。這個應考慮建立一個特定的干冰噴射系統。 1.6干冰噴射的拆除機制 附著在表面的污染物主要可以分為顆粒狀和顆粒狀薄膜污染物。干冰中顆粒污染物的去除機制爆破與薄膜污染物的機理不同。這是因為干冰的特殊性質,如固態,低溫和升華多樣化的干冰噴射清除機制。杰克遜和卡弗[1999]總結了幾種可能的干冰噴射去除機制:(i)基于干冰顆粒物質向動能轉移的動力學分離染物,(二)空氣動力學拖曳分離,(三)化學分離造成的將殘余物溶解在液態二氧化碳中,和(iv)靜電分離由污染物與帶電干冰顆粒的結合運動引起。 動力學和空氣動力學阻力分離通常用于解釋去除顆粒污染物;另一方面造成化學分離通常應用溶解來解釋去除薄膜污染物由有機化合物組成。 1.6.1顆粒污染物的去除機制 一般來說,附著在表面上的顆粒污染物將被除去一次分離力超過粘合力。 在流動區域,分離力是由流體的氣動阻力引起,主要是附著力由重力的凈力,范德華力,靜電力決定以及污染物與表面之間產生的液橋力。在密度為ρ的流體下產生的氣動阻力Fd,流速為u可以表示為: 其中Cd是阻力系數,Ap是粒子沿著它的投影面積運動方向。 Cd的值取決于顆粒雷諾數Rep。當Rep遠小于2時,Cd將為24 / Rep,即在Stokes區域,而它會變成10 /(Rep) 在Allen區域下為0.5,2≤Rep≤500。 作為爆破介質被添加到流動中,即固氣兩相流,沖擊力爆炸介質造成的損失變得非常重要。 兩者之間的沖擊力Fc粒子可以表示為: 其中,k12是兩種材料的彈性特征,m是質量減小(= m1m2 /(m1 + m2)),D是減小的粒徑(= Dp1Dp2 /(Dp1 + Dp2)),并且v是沖擊速度[Timoshenko和Goodier 1970]。 下標1和2用于上面的方程意味著由不同材料制成的兩個顆粒。為了去除微尺寸或亞微米尺寸的顆粒,重力很大小于其他粘附力,因此在大多數情況下可以忽略。 范德爾 在直徑Dp的球體與平板之間的分離時,華氏力迫使Fv距離h表示為: 其中A是隨材料而變化的Hamaker常數。 如果一個粒子被充電 表面電荷密度σ,則靜電力Fe可表示為: 其中εr和ε0分別表示相對介電常數和真空介電常數。當濕度高時,由液橋力引起的粘合強度應該考慮在內。 由液體產生的液橋力F1,γ的表面張力與粒子表面積為: 基于上述,許多研究集中于從表面去除顆粒的介紹和他們總結在表1.2。基于力矩作用力矩平衡的旋轉移除顆粒污染物和基于力平衡的滑動移除通常是應用于理論估計顆粒去除。 作為研究的結論介紹,旋轉除去的臨界去除速度遠遠低于,這是滑動移除所必需的。 但是,滑動移除也可以有效去除不規則的顆粒。 1.6.2去除薄膜污染物 在Hoenig [1986]的研究中,已經提到了干冰的壓制對污染的表面會導致干冰局部融化, 液態CO2的形成。 由于液態CO2對許多人來說是已知的優秀溶劑有機物,干冰也可用于去除有機沉積物。 此外謝爾曼[1991]提到干冰粒從表面反彈在影響后,重新固化并攜帶溶解的有機物。 此外,希爾斯[1995]聲稱去除薄膜污染物主要發生在兩個步驟中。 第一, 通過熱沖擊或磨損造成一部分薄膜物理移除。 其次,通過溶劑化將殘留的膜去除到一個 瞬時形成液態CO2膜。 特別是最初的物理移除機制對于去除溶解度較低的厚膜非常重要。 1.7這項工作的目標 如上所述,干冰噴射的許多應用已經進行并且新技術仍在發展。從回收和再利用二氧化碳的角度來看,用于工業應用目的的干冰噴射將取代傳統的清潔方法。但是,基本的知識關于膨脹射流中干冰顆粒的形成仍然不充分。另外,在比較其清潔效果的階段,其清潔效果的調查仍停止最終狀態與清潔對象的初始狀態沒有注意到動態清潔過程中的現象。不像其他顆粒,干冰的狀態顆粒在室內條件下隨時間而變化;因此,對動態的分析顆粒生產并且意義重大本研究旨在利用原位觀測和測量1)來闡明,在干冰噴射中發生顆粒生長,凝聚和升華 由液態二氧化碳制成; 2)評估干冰顆粒的影響效果,闡明干冰噴射去除顆粒的機理表面。干冰粒子生產的非穩態(動態)過程,并且特別關注用于顆粒去除的干冰噴射以清楚每一個 關于干冰顆粒的物理現象詳細介紹。 本論文共分六章。 在第一章中,介紹了包括研究背景,動機和目的在內的一般性介紹了解干冰特性。在第二章中,對干冰噴射器進行了原位顯微觀察了解干冰顆粒的形成及其團聚過程改變干冰噴射的流動類型。 使用連接到膨脹噴嘴的管作為凝聚室。 干冰噴射的溫度也被測量為a參考數據來預測干冰顆粒的狀態。 通過討論干冰顆粒大小和顆粒速度,顆粒間碰撞的貢獻在集聚過程中幾乎可以忽略不計; 相反,粒子現象沉積和再夾帶。 例如,初級顆粒沉積在管上壁并形成沉積層; 然后,團聚體從層中重新進入射流占主導地位。在第3章中,基于激光衍射方法的原位尺寸測量是應用于在噴流中流動的干冰顆粒。 主干的尺寸分布 獲得冰粒及其附聚物來解釋粒子現象在射流中發生生長,凝聚和升華。 從關系在團聚體的中值粒徑與其相應的流量之間速度,顆粒沉積的優勢和團聚中的再夾帶過程被定量驗證。 粒度和衰減的分布圖如圖1所示徑向距離的函數隨流動距離而變化,提供信息的干冰噴射的有效工作距離。在第4章中,清除附著在表面上的單粒子污染物表面使用干冰噴射系統進行了研究。 刪除的使用高速顯微鏡照相機和時間在原位觀察污染物從數字圖像分析中獲得去除效率的過程。 一個確定了除去效率與射流溫度之間的關系。這可以用來解釋兩者之間的清除效率的差異微尺寸和亞微米尺寸的污染物。 另外,還有一個理論分析由粒子撞擊和氣動阻力引起的力矩表明,粒子撞擊對亞微米尺寸的去除尤其重要污染物。在第5章中,顆粒去除效率,去除面積和頻率分別為著重闡明了多分散細顆粒的去除顆粒過程使用干冰噴射覆蓋表面。 兩個清除過程造成的主要干冰粒子與空氣動力學阻力和干冰的影響根據對射流溫度的分析發現附聚物。 的影響研究了拆除區域和頻率上的射流流量和系統參數被提出來確定有效粒子的最佳射流流量去除。在第6章中,詳細總結了本研究的結論。 此外, 延長干冰噴射在表面清潔方面的研究的觀點是給出。
|